Há alguns anos atrás o engenheiro Domingos de Abreu, especialista em elétrica com muita experiência no nosso setor, contou que estava em uma reunião com diretores do CTC discutindo sistemas de cogeração. Em dado momento foi mencionado o projeto da “casa de força” de uma nova UTE e os participantes da reunião começaram a gozação, dizendo que na visão deles “casa de força” só poderia ser o banheiro. O nome correto da edificação seria Central de Geração Térmica (CGT). Foi impossível não ficar sensibilizado com um argumento tão lógico e assim, a partir daquela conversa com o Domingos, passamos a usar em nossos projetos a terminologia CGT.
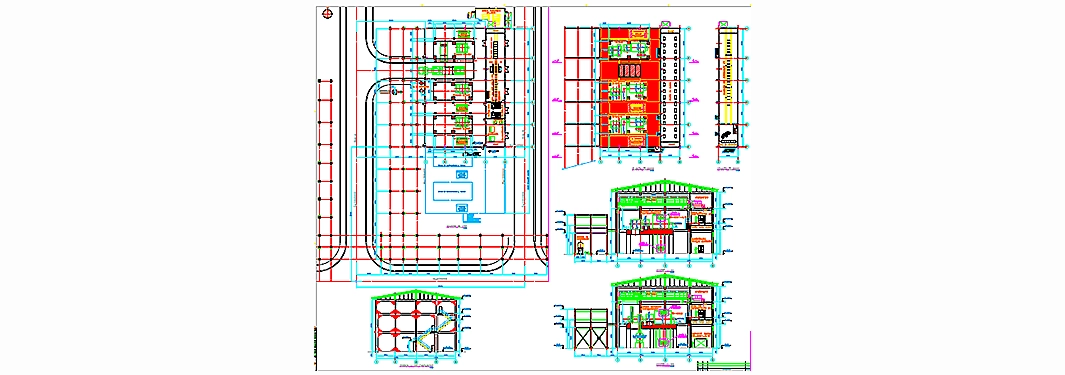
E por falar em engenharia elétrica, o uso da expressão “série ou paralelo” poderia indicar o tipo de ligação de circuitos elétricos em série ou em paralelo. Mas não é o caso. Estamos nos referindo ao tipo do arranjo físico dos vários turbo geradores (TG’s) dentro do prédio de uma CGT.
Quando iniciamos o projeto de uma nova CGT o procedimento é meio automático: o projetista desenha sempre os diversos TG’s com os seus eixos em paralelo, que é a configuração que consideramos mais adequada. Mas recentemente, em dois novos projetos “greenfield”, ambos os clientes solicitaram estudos específicos, pois estavam convencidos de que seria mais econômica a configuração com os eixos dos TG’s alinhados, ou “em série” como dizemos nós. Gostaríamos de comentar os resultados destes dois estudos.
O principal argumento que levou os dois clientes a pensar que a solução “série” seria mais econômica é a instalação de uma ponte rolante com um vão menor, sendo assim mais barata. Haveria também uma eventual economia na construção do prédio da CGT.
À primeira vista parece uma conclusão natural, mas uma análise mais aprofundada indica que outros fatores também influenciam na decisão final.
Para uma mesma capacidade de carga, o preço da ponte aumenta com o vão do prédio, porém este aumento demonstrou estar na faixa de 16,5% para o nosso caso, cujos vãos estudados foram respectivamente de 13 m e de 18 m para uma ponte rolante com capacidade nominal de 80 t. É preciso avaliar o quanto este incremento de preço impacta no investimento total da CGT.
A configuração da CGT em “série” tem prédio muito mais comprido, resultando em uma área coberta aproximadamente 7,5% menor do que a configuração em “paralelo”. Porém, mesmo com área coberta menor, a configuração em “série” vai necessitar de um maior número de colunas no prédio e, portanto de mais fundações para suportar a carga da ponte rolante. Neste caso, menor área coberta pode não significar necessariamente menor custo da construção.
O prédio mais comprido vai necessitar de um maior comprimento das tubulações de vapor, e as tubulações de vapor motriz são tubulações caras. Tubulações mais compridas significam necessidade de mais suportes (pipe-rack) e de mais liras para garantir a flexibilidade adequada.
Para a instalação dos geradores em questão seria necessária uma ponte rolante com capacidade de 80 t. Por solicitação de um dos clientes, estudamos também a instalação de uma ponte rolante com capacidade de 15 t para manutenção da turbina, sem capacidade para a remoção do gerador. Neste caso, o gerador seria montado antes da instalação do telhado com um guindaste automotor de grande capacidade. No futuro, em caso de necessidade de remoção do gerador, o telhado seria projetado para ser removido na época da montagem / desmontagem dos TG’s.
Para uma CGT com três TG’s de contrapressão com 40 MW cada um, os resultados dos investimentos relativos nos estudos detalhados foram os seguintes:
- Opção 1: 3 TG’s 40 MW “paralelo”, ponte rolante 80 t, vão 18 m: 100%;
- Opção 2: 3 TG’s 40 MW “série”, ponte rolante 80 t, vão 13 m: 100,1%;
- Opção 3: 3TG’s 40 MW “paralelo”, ponte rolante 15 t, vão 18 m: 98,7% (inclui uma locação de guindaste);
- Opção 4: 3 TG’s 40 MW “série”, ponte rolante 15 t, vão 13 m: 102,8% (inclui uma locação de guindaste).
Os estudos detalhados mostraram que a diferença de preço entre as pontes e os prédios não compensava o custo de locação de um guindaste de grande capacidade, pois geralmente as usinas estão muito distantes das bases dos guindastes de grande porte. O cliente em questão decidiu-se pela compra da ponte rolante com capacidade total de 80 t para instalar o gerador.
Resumindo, os dois clientes que solicitaram os estudos comparativos, certos de que escolheriam a configuração da nova CGT em “série”, depois de estudarem os orçamentos detalhados acabaram decidindo pela implantação da configuração em “paralelo”.
Em nossa opinião existe apenas um caso de CGT na qual a configuração em “série” poderá ser mais indicada. Trata-se de CGT com no máximo dois TG’s. Se você considera que a sua CGT não terá mais do que dois TG’s no futuro, então a instalação em “série” com o poço central para a remoção dos dois geradores, que ficarão próximos ao poço central, poderá ser a solução mais adequada.
Para o caso de CGT com três ou mais TG’s a configuração em “paralelo” será sempre mais recomendável, tanto do ponto de vista técnico como econômico.
Conteúdo por Celso Procknor


